행렬식은 정사각행렬을 받아서 실수값을 산출하는 특별한 함수이다.
정사각행렬의 행렬식을 흔히 det A라고 표기한다.
실제로 행렬식은 위키피디아의 설명에 따르면 "정사각 행렬에 스칼라를 대응시키는 함수의 하나"라고 설명하며,
행렬마다 갖고있는 특정한 값을 나타낸다.
행렬식은 연립일차방정식의 해를 구하기 위해 고안되었다고 하고,
크레마의 법칙을 이용해서 연립일차방정식을 푸는데 쓰인다고 한다!
기하학적으로 행렬식은 상자의 부피와 관련이 있고..
어쨌든 이 책에서 행렬식은 행렬의 역을 구할때 행렬식이 쓰인다고 한다.
소행렬
n*n 인 정사각행렬 A가 주어졌을 때,
A의 소행렬 |Aij|는 A의 i번째 행과 j번째 열을 삭제한 결과로 생긴 (n-1) * (n-1) 행렬이다.
예를들어, 3*3 정사각행렬 A의 소행렬 |A11|, |A13|은 다음과 같다.

행렬식의 정의
행렬식은 재귀적으로 정의된다.
4*4 행렬의 행렬식은 3*3 행렬의 행렬식을 항으로 하여 정의되고,
3*3 은 2*2로, 2*2은 1*1으로...
1*1 행렬 A =[A11]의 행렬식 det[A11]= A11으로 정의된다.
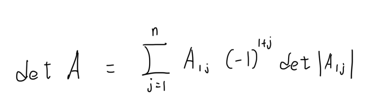
A가 n*n 행렬일때, n>1에 대해 A의 행렬식은 다음과 같이 정의된다.

예를들어, 2*2 행렬의 행렬식은 다음과 같다.

그리고 3*3 행렬의 행렬식은 다음과 같다!

여인수와 딸림행렬
A가 n*n 행렬이라고 할때, 곱 Cij = (-1)^(i+j) det|Aij| 를 Aij의 여인수(cofactor)라고 하고,
A의 각 성분의 여인수 Cij룰 해당 ij번째 위치에 넣어 만든 행렬을 A의 여인수행렬이라고 부른다.
그리고 이 여인수행렬의 전치행렬을 A의 딸림행렬(수반행렬)이라고 부른다.
A의 딸림행렬은 adj(A)로 나타낸다.
'컴퓨터 그래픽스' 카테고리의 다른 글
| 3. 변환 : 선형변환 (0) | 2023.04.07 |
|---|---|
| 2. 행렬 대수 : 행렬의 역 (0) | 2023.03.31 |
| 2. 행렬 대수 : 행렬의 전치와 단위행렬 (0) | 2023.03.30 |
| 2. 행렬 대수 : 정의 (0) | 2023.03.28 |
| 1. 벡터 대수 : 점 (0) | 2023.03.23 |